You will first have to create a new client in order to collect their signature. If you are unsure of this process, please check out the help article on How to Add a Client.
1. During the process of creating a client, you will be given the option to choose how your client will be signing the authorization. You will then select “My client will electronically sign by email." Your client will then receive an email notification to sign the authorization electronically.

Below is a template of how the email notification will appear for your clients.

2. Once your client selects "Sign authorization" he or she will then be navigated to the following screen (see image below) to provide their signature and initials. They will click the “Collect Signature/initials”.
3. Your client will be able to click and hold the mouse to draw his/her signature in the box provided.


4. Lastly, the client will have to select “Accept" for their signature/initials to be saved!
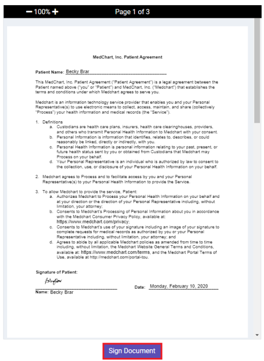
5. The client will then review the patient agreements and click the “Sign Document” button when done.

Once the client has signed and provided their signature , you will receive an email notification! 